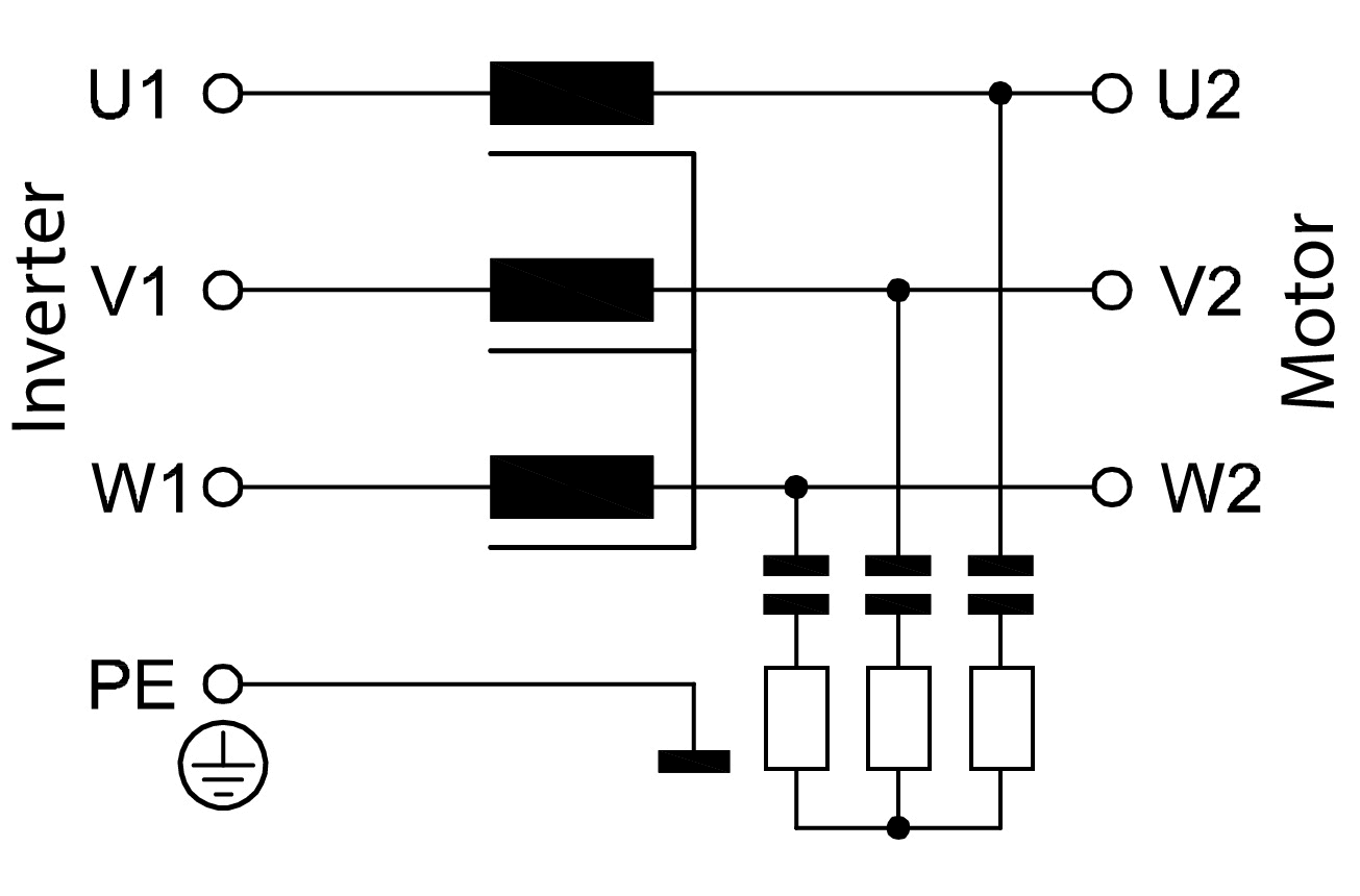
DV/DT 波滤波器多用于变频器、逆变器的输出端
DV/DT滤波器是一种专门设计用于保护电机的滤波器。当变频器与电机之间的运行电缆过长时,可能会产生对电机造成损害的峰值电压。电缆的长度取决于变频器中的电力半导体开关次数以及电机的大小。如果电缆短于2.5米,电机可能会承受超过其绝缘系统额定值的峰值电压。然而,如果电缆过长,则可能会导致电压行波反射,进而产生两倍甚至更高的瞬变电压冲击。在这种情况下,DV/DT滤波器可以用来阻止峰值电压,从而保护电机免受损坏。
DV/DT滤波器和正弦波滤波器的外观相似,但在同等功率条件下,DV/DT的价格相对较低,而正弦波滤波器的价格较高。许多用户因此感到困惑,不知道两者之间的区别。以下是对两者的比较:
DV/DT滤波器可以有效地抑制变频器输出端的DV/DT,可以将DV/DT抑制到≤500V/μs。然而,正弦波滤波器能够将变频器输出端的DV/DT抑制到≤50V/μs。
此外,DV/DT滤波器一般不能改变变频器输出端的电压波形。而正弦波滤波器则可以将变频器输出的PWM波/SPWM波过滤成更为完美的正弦波。
在传输距离方面,DV/DT滤波器可以将变频器的有效传输距离延展至≤1000米,而正弦波滤波器则可以将变频器的有效传输距离延展至≤2000米。
综上所述,DV/DT滤波器和正弦波滤波器在性能和应用方面存在差异。用户需要根据具体的需求和应用场景选择合适的滤波器。
